Упр.1.22 ГДЗ Мордкович Семенов 7 класс (Алгебра)
Решение #1

Рассмотрим вариант решения задания из учебника Мордкович, Семенов, Александрова 7 класс, Бином:
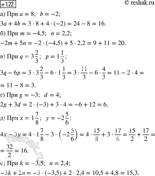
1.22. Найдите значение выражения:
а) 3а + 4b при а = 8, b = —2;
б) —2m + 5n при m = —4,5, n = 2,2;
в) 3q - 6р при q = 3 2/3, р = 1 1/3;
г) 2g + 3d при g = —3, d = 4;
д) 4х - 3у при х = 1 7/8, y = -2 5/6;
е) —3k + 2n при k = —3,5, n = 2,4.
*размещая тексты в комментариях ниже, вы автоматически соглашаетесь с пользовательским соглашением