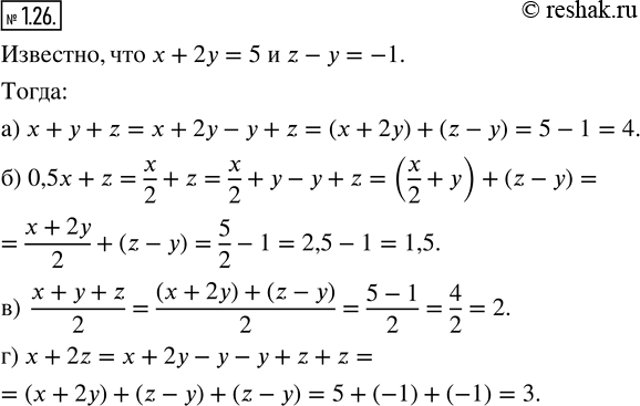
Упр.1.26 ГДЗ Мордкович Семенов 7 класс (Алгебра)
Решение #1

Рассмотрим вариант решения задания из учебника Мордкович, Семенов, Александрова 7 класс, Бином:
1.26. Известно, что x + 2y = 5 и z - y = — 1. Найдите:
а) x + y + z; в) (x + y + z)/2;
б) 0,5x + z; г) x + 2z.
*размещая тексты в комментариях ниже, вы автоматически соглашаетесь с пользовательским соглашением