Упр.1.7 ГДЗ Мордкович Семенов 7 класс (Алгебра)
Решение #1

Рассмотрим вариант решения задания из учебника Мордкович, Семенов, Александрова 7 класс, Бином:
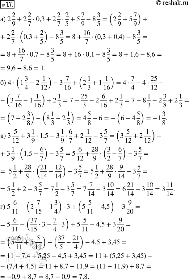
1.7. Найдите значение числового выражения наиболее рациональным способом:
а) 2 2/9 + 2 2/7 · 0,3 + 2 2/7 · 2/5 + 5 7/9 - 8 3/5;
б) 4 · (1 3/4 - 2 1/12) - 3 7/16 + (2 1/3 + 1 1/16);
в) 3 5/12 + 3 1/9 · 1,5 - 3 1/9 · 6/7 + 2 1/12 - 3 5/7;
г) 5 6/11 - (2 7/15 - 1 3/4) · 3 + (5 5/11 - 4,5) + 3 9/20.
*размещая тексты в комментариях ниже, вы автоматически соглашаетесь с пользовательским соглашением