Упр.10.10 ГДЗ Мордкович Семенов 7 класс (Алгебра)
Решение #1

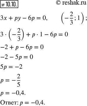
Рассмотрим вариант решения задания из учебника Мордкович, Семенов, Александрова 7 класс, Бином:
10.10. Найдите значение р, при котором решением уравнения 3x + ру — 6р = 0 является пара чисел (-2/3; 1).
*размещая тексты в комментариях ниже, вы автоматически соглашаетесь с пользовательским соглашением