Упр.11.16 ГДЗ Мордкович Семенов 7 класс (Алгебра)
Решение #1

Рассмотрим вариант решения задания из учебника Мордкович, Семенов, Александрова 7 класс, Бином:
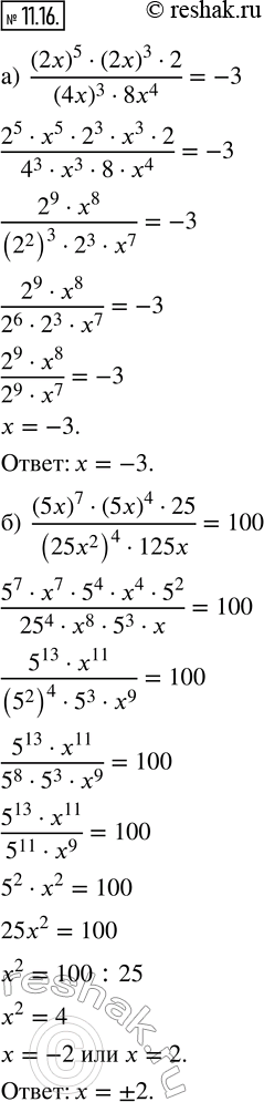
11.16. Решите уравнение:
а) ((2x)^5 · (2x)^3 · 2)/((4x)^3 · 8x^4) = -3;
б) ((5x)^7 · (5x)^4 · 25)/((25x^2)^4 · 125x) = 100.
*размещая тексты в комментариях ниже, вы автоматически соглашаетесь с пользовательским соглашением