Упр.114 ГДЗ Дорофеев Суворова 9 класс (Алгебра)
Решение #1

Рассмотрим вариант решения задания из учебника Дорофеев, Суворова, Бунимович 9 класс, Просвещение:
114. Решите систему неравенств:
а) Система 3-(z-1)/2>1 и 2z+z/3<7;
б) Система 2(3y-1)-4(2y+3)<10 и (y-3)/2-(y+4)/3<0;
в) Система 1-(2x+3)/3>2-(x+1)/4 и 5(x-4)-8>6(2x-1)-1;
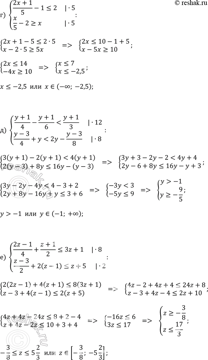
г) Система (2x+1)/5-1?2 и x/5-2?x;
д) Система (y+1)/4-(y+1)/6<(y+1)/3 и (y-3)/4+y<2y-(y-3)/8;
е) Система (2z-1)/4+(z+1)/2?3z+1 и (z-3)/2+2(z-1)?z+5;;
*размещая тексты в комментариях ниже, вы автоматически соглашаетесь с пользовательским соглашением