Упр.172 ГДЗ Дорофеев Суворова 9 класс (Алгебра)
Решение #1

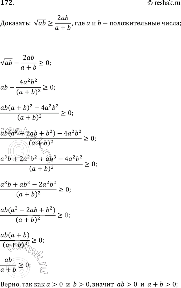
Рассмотрим вариант решения задания из учебника Дорофеев, Суворова, Бунимович 9 класс, Просвещение:
172. Докажите, что среднее геометрическое двух положительных чисел всегда не меньше среднего гармонического этих чисел.
*размещая тексты в комментариях ниже, вы автоматически соглашаетесь с пользовательским соглашением