Упр.183 ГДЗ Дорофеев Суворова 7 класс (Алгебра)
Решение #1

Рассмотрим вариант решения задания из учебника Дорофеев, Суворова, Бунимович 10-11 класс, Просвещение:
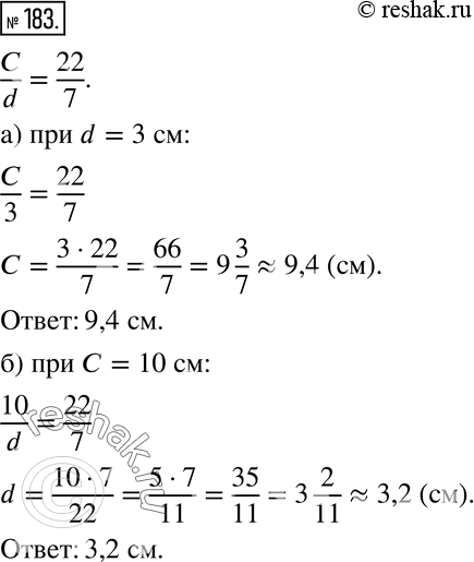
183 В любой окружности отношение длины окружности к её диаметру одно и то же и приближённо равно 22/7.
а) Определите длину окружности, диаметр которой равен 3 см.
б) При каком диаметре длина окружности равна 10 см? (Ответы округляйте до десятых.)
*размещая тексты в комментариях ниже, вы автоматически соглашаетесь с пользовательским соглашением