Упр.22.10 ГДЗ Мордкович Семенов 7 класс (Алгебра)
Решение #1

Рассмотрим вариант решения задания из учебника Мордкович, Семенов, Александрова 7 класс, Бином:
22.10. Упростите выражение:
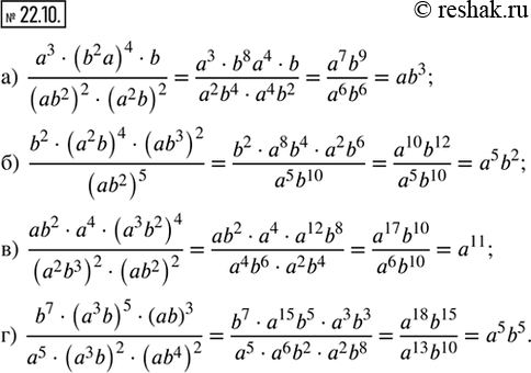
а) (a^3 · (b^2 a)^4 · b)/((ab^2)^2 · (a^2 b)^2);
б) (b^2 · (a^2 b)^4 · (ab^3)^2)/(ab^2)^5;
в) (ab^2 · a^4 · (a^3 b^2)^4)/((a^2 b^3)^2 · (ab^2)^2);
г) (b^7 · (a^3 b)^5 · (ab)^3)/(a^5 · (a^3 b)^2 · (ab^4)^2).
*размещая тексты в комментариях ниже, вы автоматически соглашаетесь с пользовательским соглашением