Упр.22.4 ГДЗ Мордкович Семенов 7 класс (Алгебра)
Решение #1

Рассмотрим вариант решения задания из учебника Мордкович, Семенов, Александрова 7 класс, Бином:
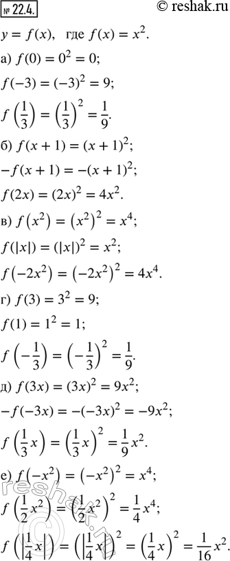
22.4. Дана функция у = f(х), где f(х) = x^2. Найдите:
а) f(0), f(-3), f(1/3);
б) f(x + 1), -f(x + 1), f(2x);
в) f(x^2), f(|x|), f(-2x^2);
г) f(3), f(1), f(-1/3);
д) f(3x), -f(-3x), f(1/3 x);
е) f(-x^2), f(1/2 x^2), f(|1/4 x|).
*размещая тексты в комментариях ниже, вы автоматически соглашаетесь с пользовательским соглашением