Упр.22.5 ГДЗ Мордкович Семенов 7 класс (Алгебра)
Решение #1

Рассмотрим вариант решения задания из учебника Мордкович, Семенов, Александрова 7 класс, Бином:
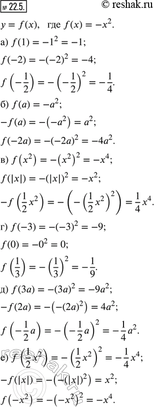
22.5. Дана функция у = f(х), где f(х) = -x^2. Найдите:
а) f(1), f(-2), f(-1/2);
б) f(a), -f(a), f(-2a);
в) f(x^2), f(|x|), -f(1/2 x^2);
г) f(-3), f(0), f(1/3);
д) f(3a), -f(2a), f(-1/2 a);
е) f(1/2 x^2), -f(|x|), f(-x^2).
*размещая тексты в комментариях ниже, вы автоматически соглашаетесь с пользовательским соглашением