Упр.22.8 ГДЗ Мордкович Семенов 7 класс (Алгебра)
Решение #1

Рассмотрим вариант решения задания из учебника Мордкович, Семенов, Александрова 7 класс, Бином:
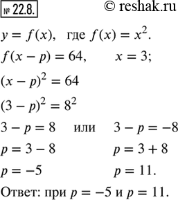
22.8. Дана функция у = f(х), где f(х) = х^2. Найдите значение параметра р, если известно, что равенство f(х — р) = 64 верно при х = 3.
*размещая тексты в комментариях ниже, вы автоматически соглашаетесь с пользовательским соглашением