Упр.243 ГДЗ Дорофеев Суворова 7 класс (Алгебра)
Решение #1

Рассмотрим вариант решения задания из учебника Дорофеев, Суворова, Бунимович 10-11 класс, Просвещение:
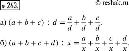
243 Запишите с помощью букв приём, используя который можно разделить:
а) сумму трёх чисел на некоторое число;
б) сумму четырёх чисел на некоторое число.
*размещая тексты в комментариях ниже, вы автоматически соглашаетесь с пользовательским соглашением