Упр.25.4 ГДЗ Мордкович Семенов 7 класс (Алгебра)
Решение #1

Рассмотрим вариант решения задания из учебника Мордкович, Семенов, Александрова 7 класс, Бином:
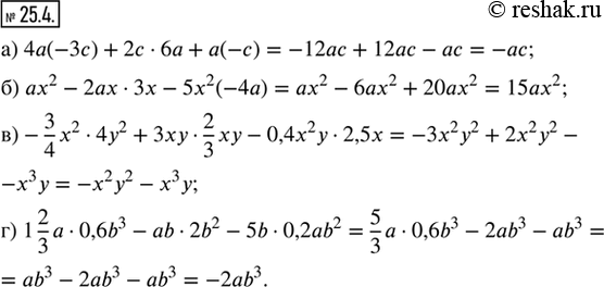
25.4. Упростите выражение:
а) 4а(—3с) + 2с · 6а + а(—с);
б) аx^2 — 2аx · 3x - 5х^2 (-4а);
в) —3/4 x^2 · 4у^2 + 3ху · 2/3 ху - 0,4x^2 у · 2,5х;
г) 1 2/3 a · 0,6b^3 - ab · 2b^2 - 5b · 0,2ab^2.
*размещая тексты в комментариях ниже, вы автоматически соглашаетесь с пользовательским соглашением