Упр.26 ГДЗ Дорофеев Суворова 7 класс (Алгебра)
Решение #1

Рассмотрим вариант решения задания из учебника Дорофеев, Суворова, Бунимович 10-11 класс, Просвещение:
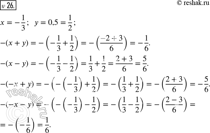
26 Пусть х = -1/3 и у = 0,5. Найдите значение каждого из выражений: -(x + у); -(х - у); -(-х + у); -(-х - у).
*размещая тексты в комментариях ниже, вы автоматически соглашаетесь с пользовательским соглашением