Упр.26.5 ГДЗ Мерзляк 10 класс Базовый уровень (Алгебра)
Решение #1

Рассмотрим вариант решения задания из учебника Мерзляк, Номировский, Полонский 10 класс, Вентана-Граф:
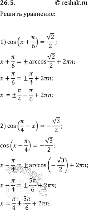
26.5. Решите уравнение:
1) cos(x+?/6)=v2/2; 3) cos(x/6-2)=-1;
2) cos(?/4-x)=-v3/2; 4) 2cos(?/8-3x)+1=0.
*размещая тексты в комментариях ниже, вы автоматически соглашаетесь с пользовательским соглашением