Упр.275 ГДЗ Дорофеев Суворова 7 класс (Алгебра)
Решение #1

Рассмотрим вариант решения задания из учебника Дорофеев, Суворова, Бунимович 10-11 класс, Просвещение:
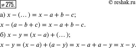
275 Рассуждаем Восстановите сумму в скобках:
а) х - (...) = х - а + b - с;
б) х - у = (х - а) + (...).
*размещая тексты в комментариях ниже, вы автоматически соглашаетесь с пользовательским соглашением