Упр.277 ГДЗ Дорофеев Суворова 7 класс (Алгебра)
Решение #1

Рассмотрим вариант решения задания из учебника Дорофеев, Суворова, Бунимович 10-11 класс, Просвещение:
Применяем алгебру (277—279)
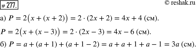
277 а) Чему равен периметр прямоугольника, одна сторона которого равна х см, а другая — на 2 см больше? на 3 см меньше? б) Чему равен периметр треугольника, одна сторона которого равна а см, вторая — на 1 см больше первой, а третья — на 2 см меньше второй?
*размещая тексты в комментариях ниже, вы автоматически соглашаетесь с пользовательским соглашением