Упр.28 ГДЗ Дорофеев Суворова 9 класс (Алгебра)
Решение #1

Рассмотрим вариант решения задания из учебника Дорофеев, Суворова, Бунимович 9 класс, Просвещение:
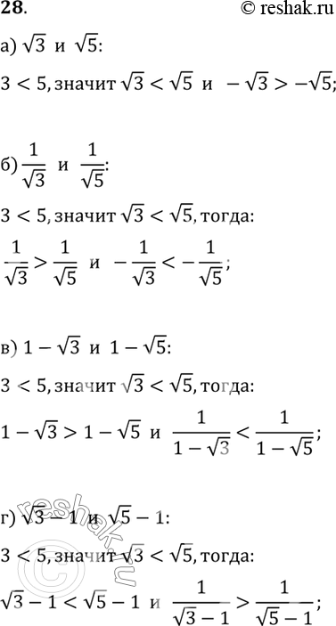
28. Сравните:
а) v3 и v5, -v3 и -v5;
б) 1/v3 и 1/v5, -1/v3 и -1/v5;
в) 1-v3 и 1-v5, 1/(1-v3) и 1/(1-v5);
г) v3-1 и v5-1, 1/(v3-1) и 1/(v5-1);
*размещая тексты в комментариях ниже, вы автоматически соглашаетесь с пользовательским соглашением