Упр.286 ГДЗ Дорофеев Суворова 7 класс (Алгебра)
Решение #1

Рассмотрим вариант решения задания из учебника Дорофеев, Суворова, Бунимович 10-11 класс, Просвещение:
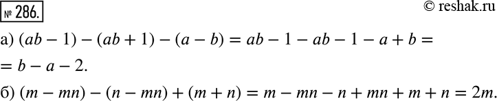
286 Упростите выражение:
а) (ab - 1) - (аb + 1) - (а - b);
б) (m - mn) - (n - mn) + (m + n).
*размещая тексты в комментариях ниже, вы автоматически соглашаетесь с пользовательским соглашением