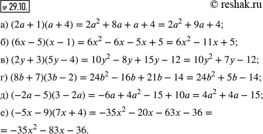
Упр.29.10 ГДЗ Мордкович Семенов 7 класс (Алгебра)
Решение #1

Рассмотрим вариант решения задания из учебника Мордкович, Семенов, Александрова 7 класс, Бином:
29.10. Выполните умножение многочлена на многочлен:
а) (2а + 1)(а + 4); г) (8b + 7)(3b - 2);
б) (6х - 5)(x - 1); д) (-2a - 5)(3 - 2a);
в) (2у + 3)(5у - 4); е) (-5x - 9)(7x + 4).
*размещая тексты в комментариях ниже, вы автоматически соглашаетесь с пользовательским соглашением