Упр.291 ГДЗ Дорофеев Суворова 7 класс (Алгебра)
Решение #1

Рассмотрим вариант решения задания из учебника Дорофеев, Суворова, Бунимович 10-11 класс, Просвещение:
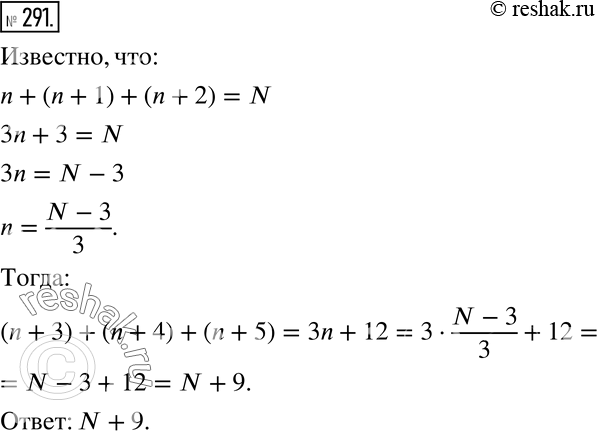
291 Пусть сумма трёх последовательных натуральных чисел равна N. Найдите сумму трёх следующих натуральных чисел.
*размещая тексты в комментариях ниже, вы автоматически соглашаетесь с пользовательским соглашением