Упр.294 ГДЗ Дорофеев Суворова 7 класс (Алгебра)
Решение #1

Рассмотрим вариант решения задания из учебника Дорофеев, Суворова, Бунимович 10-11 класс, Просвещение:
Действуем по правилу (294—295) Упростите выражение.
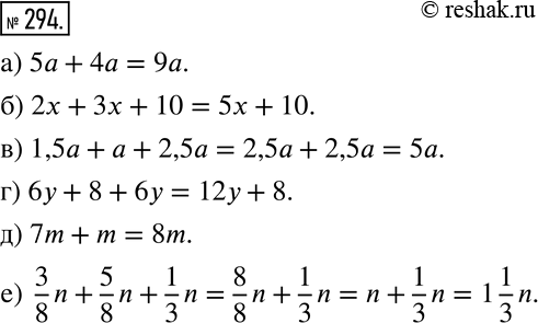
294 а) 5а + 4 а;
б) 2x + Зx + 10;
в) 1,5а + а + 2,5а;
г) 6y + 8 + 6y;
д) 7m + m;
е) 3/8*n + 5/8*n + 1/3*n.
*размещая тексты в комментариях ниже, вы автоматически соглашаетесь с пользовательским соглашением