Упр.3.21 ГДЗ Мордкович Семенов 7 класс (Алгебра)
Решение #1

Рассмотрим вариант решения задания из учебника Мордкович, Семенов, Александрова 7 класс, Бином:
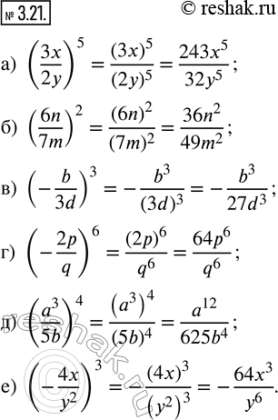
3.21. Выполните возведение дроби в степень:
а) (3x/2y)^5;
б) (6n/7m)^2;
в) (-b/3d)^3;
г) (-2p/q)^6;
д) (a^3/5b)^4;
е) (-4x/y^2)^3.
*размещая тексты в комментариях ниже, вы автоматически соглашаетесь с пользовательским соглашением