Упр.30.10 ГДЗ Мордкович Семенов 7 класс (Алгебра)
Решение #1

Рассмотрим вариант решения задания из учебника Мордкович, Семенов, Александрова 7 класс, Бином:
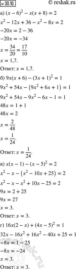
30.10. Решите уравнение:
а) (х - 6)^2 - х(х + 8) = 2; в) х(х - 1) - (х - 5)^2 = 2;
б) 9х(х + 6) - (3х + 1)^2 = 1; г) 16х(2 - х) + (4х - 5)^2 = 1.
*размещая тексты в комментариях ниже, вы автоматически соглашаетесь с пользовательским соглашением