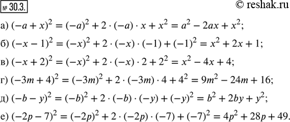
Упр.30.3 ГДЗ Мордкович Семенов 7 класс (Алгебра)
Решение #1

Рассмотрим вариант решения задания из учебника Мордкович, Семенов, Александрова 7 класс, Бином:
30.3. Преобразуйте квадрат двучлена в многочлен:
а) (-a + x)^2; в) (-x + 2)^2; д) (-b - y)^2;
б) (-x - 1)^2; г) (-3m + 4)^2; е) (-2p - 7)^2.
*размещая тексты в комментариях ниже, вы автоматически соглашаетесь с пользовательским соглашением