Упр.30.4 ГДЗ Мордкович Семенов 7 класс (Алгебра)
Решение #1

Рассмотрим вариант решения задания из учебника Мордкович, Семенов, Александрова 7 класс, Бином:
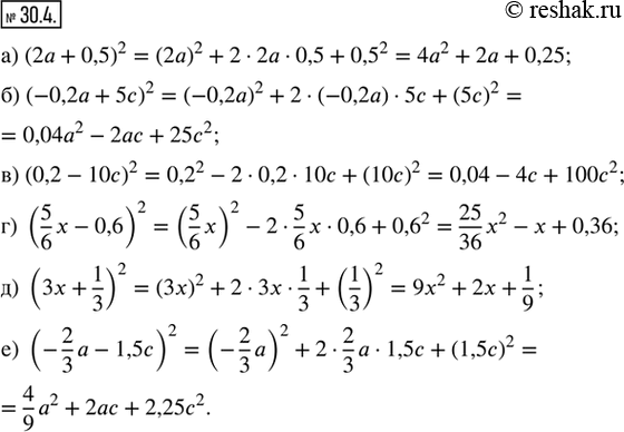
30.4. Преобразуйте квадрат двучлена в многочлен:
а) (2a + 0,5)^2; в) (0,2 - 10c)^2; д) (3x + 1/3)^2;
б) (-0,2a + 5c)^2; г) (5/6 x - 0,6)^2; е) (-2/3 a - 1,5c)^2.
*размещая тексты в комментариях ниже, вы автоматически соглашаетесь с пользовательским соглашением