Упр.30.5 ГДЗ Мордкович Семенов 7 класс (Алгебра)
Решение #1

Рассмотрим вариант решения задания из учебника Мордкович, Семенов, Александрова 7 класс, Бином:
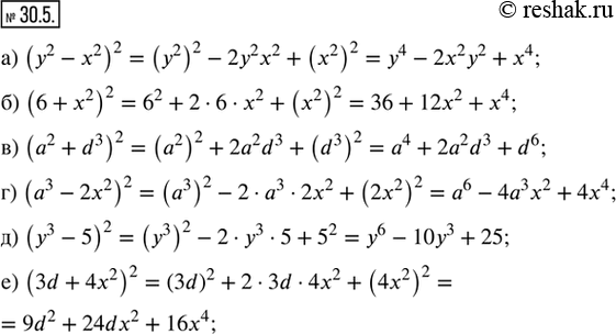
30.5. Преобразуйте квадрат двучлена в многочлен:
а) (y^2 - x^2)^2; в) (a^2 + d^3)^2; д) (y^3 - 5)^2;
б) (6 + x^2)^2; г) (a^3 - 2x^2)^2; е) (3d + 4x^2)^2.
*размещая тексты в комментариях ниже, вы автоматически соглашаетесь с пользовательским соглашением