Упр.306 ГДЗ Дорофеев Суворова 7 класс (Алгебра)
Решение #1

Рассмотрим вариант решения задания из учебника Дорофеев, Суворова, Бунимович 10-11 класс, Просвещение:
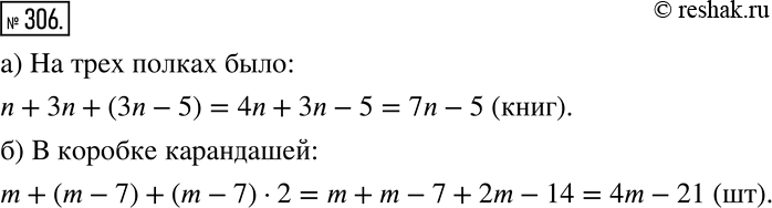
306 Составьте выражение по условию задачи и упростите его:
а) На одной полке было n книг, на другой — в 3 раза больше, чем на первой, а на третьей — на 5 книг меньше, чем на второй. Сколько книг было на трёх полках вместе?
б) В коробке на столе учителя лежат цветные карандаши. Из них m карандашей красные, синих на 7 меньше, а зелёных в 2 раза больше, чем синих. Сколько в коробке карандашей?
*размещая тексты в комментариях ниже, вы автоматически соглашаетесь с пользовательским соглашением