Упр.31.2 ГДЗ Мордкович Семенов 7 класс (Алгебра)
Решение #1

Рассмотрим вариант решения задания из учебника Мордкович, Семенов, Александрова 7 класс, Бином:
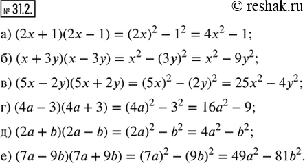
31.2. Найдите произведение, используя формулу разности квадратов:
а) (2x + 1)(2x - 1); г) (4a - 3)(4a + 3);
б) (x + 3y)(x - 3y); д) (2a + b)(2a - b);
в) (5x - 2y)(5x + 2y); е) (7a - 9b)(7a + 9b).
*размещая тексты в комментариях ниже, вы автоматически соглашаетесь с пользовательским соглашением