Упр.32.3 ГДЗ Мордкович Семенов 7 класс (Алгебра)
Решение #1

Рассмотрим вариант решения задания из учебника Мордкович, Семенов, Александрова 7 класс, Бином:
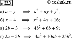
32.3. Составьте для разности одночленов неполный квадрат их суммы:
а) а — у; б) х — 4; в) 2b — 3; г) 2а — 5b.
*размещая тексты в комментариях ниже, вы автоматически соглашаетесь с пользовательским соглашением