Упр.32.6 ГДЗ Мордкович Семенов 7 класс (Алгебра)
Решение #1

Рассмотрим вариант решения задания из учебника Мордкович, Семенов, Александрова 7 класс, Бином:
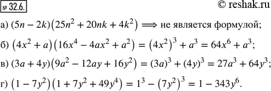
32.6. Упростите выражение, используя, если возможно, формулу суммы или разности кубов:
а) (5n - 2k)(25n^2 + 20nk + 4k^2);
б) (4х^2 + а)(16x^4 — 4ах^2 + а^2);
в) (3а + 4у)(9а^2 - 12ay + 16у^2);
г) (1 - 7у^2)(1 + 7у^2 + 49у^4).
*размещая тексты в комментариях ниже, вы автоматически соглашаетесь с пользовательским соглашением