Упр.322 ГДЗ Дорофеев Суворова 7 класс (Алгебра)
Решение #1

Рассмотрим вариант решения задания из учебника Дорофеев, Суворова, Бунимович 10-11 класс, Просвещение:
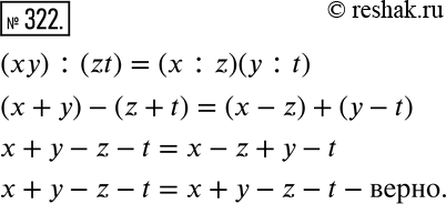
322 Запишите равенство (ху) : (zt) = (х : z) (у : t), заменив знак деления знаком «минус», а знак умножения знаком «плюс». Верно ли полученное равенство?
*размещая тексты в комментариях ниже, вы автоматически соглашаетесь с пользовательским соглашением