Упр.33.7 ГДЗ Мордкович Семенов 7 класс (Алгебра)
Решение #1

Рассмотрим вариант решения задания из учебника Мордкович, Семенов, Александрова 7 класс, Бином:
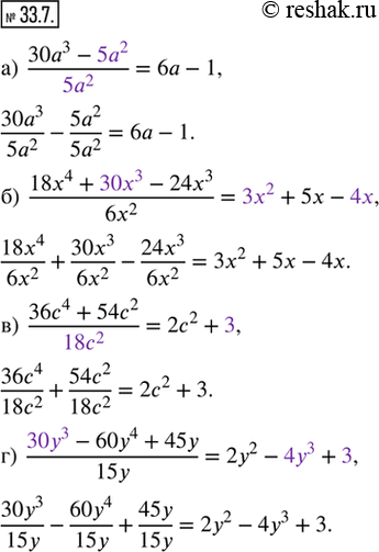
33.7. Замените символы * одночленами так, чтобы выполнялось равенство:
а) (30a^3 - *)/* = 6a - 1;
б) (18x^4 + * - 24x^3)/6x^2 = * + 5x - *;
в) (36c^4 + 54c^2)/* = 2c^2 + *;
г) (* - 60y^4 + 45y)/15y = 2y^2 - * + *.
*размещая тексты в комментариях ниже, вы автоматически соглашаетесь с пользовательским соглашением