Упр.34.19 ГДЗ Мордкович Семенов 7 класс (Алгебра)
Решение #1

Рассмотрим вариант решения задания из учебника Мордкович, Семенов, Александрова 7 класс, Бином:
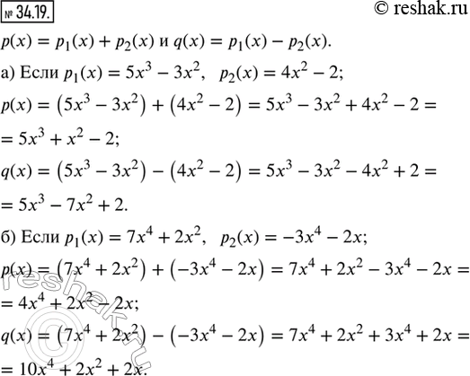
34.19. Найдите р(х) = р_1 (х) + р_2 (х) и q(x) = р_1 (х) - р_2 (х), если:
а) Р_1 (х) = 5х^3 - 3x^2, р_2 (х) = 4х^2 - 2;
б) Р_1 (х) = 7x^4 + 2x^2, р_2 (х) = —3х^4 — 2х.
*размещая тексты в комментариях ниже, вы автоматически соглашаетесь с пользовательским соглашением