Упр.35.29 ГДЗ Мордкович Семенов 7 класс (Алгебра)
Решение #1

Рассмотрим вариант решения задания из учебника Мордкович, Семенов, Александрова 7 класс, Бином:
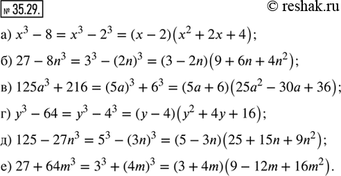
35.29. Разложите, если возможно, данный двучлен на множители.
а) х^3 - 8; г) у^3 - 64;
б) 27 - 8n^3; д) 125 - 27n^3;
в) 125а^3 + 216; е) 27 + 64m^3.
*размещая тексты в комментариях ниже, вы автоматически соглашаетесь с пользовательским соглашением