Упр.36.12 ГДЗ Мордкович Семенов 7 класс (Алгебра)
Решение #1

Рассмотрим вариант решения задания из учебника Мордкович, Семенов, Александрова 7 класс, Бином:
36.12. Вычислите наиболее рациональным способом:
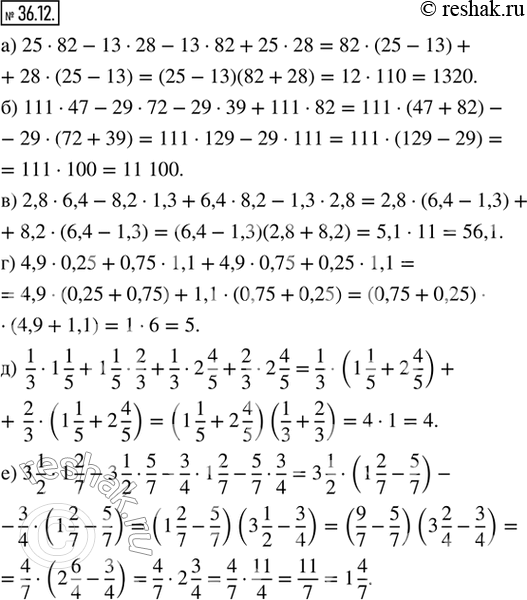
а) 25 · 82 - 13 · 28 - 13 · 82 + 25 · 28;
б) 111 · 47 - 29 · 72 - 29 · 39 + 111 · 82;
в) 2,8 · 6,4 - 8,2 · 1,3 + 6,4 · 8,2 - 1,3 · 2,8;
г) 4,9 · 0,25 + 0,75 · 1,1 + 4,9 · 0,75 + 0,25 · 1,1;
д) 1/3 · 1 1/5 + 1 1/5 · 2/3 + 1/3 · 2 4/5 + 2/3 · 2 4/5;
е) 3 1/2 · 1 2/7 - 3 1/2 · 5/7 - 3/4 · 1 2/7 - 5/7 · 3/4.
*размещая тексты в комментариях ниже, вы автоматически соглашаетесь с пользовательским соглашением