Упр.36.19 ГДЗ Мордкович Семенов 7 класс (Алгебра)
Решение #1

Рассмотрим вариант решения задания из учебника Мордкович, Семенов, Александрова 7 класс, Бином:
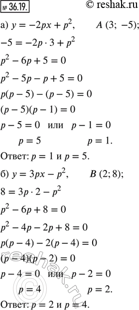
36.19. а) При каких значениях параметра р график линейной функции у = — 2рх + р^2 проходит через точку А(3; —5)?
б) При каких значениях параметра р график линейной функции у = 3рх — р^2 проходит через точку В(2; 8)?
*размещая тексты в комментариях ниже, вы автоматически соглашаетесь с пользовательским соглашением