Упр.37.9 ГДЗ Мордкович Семенов 7 класс (Алгебра)
Решение #1

Рассмотрим вариант решения задания из учебника Мордкович, Семенов, Александрова 7 класс, Бином:
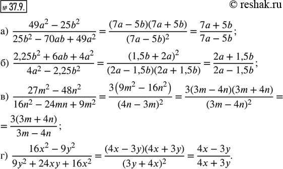
37.9. Сократите данную алгебраическую дробь:
а) (49a^2 - 25b^2)/(25b^2 - 70ab + 49a^2);
б) (2,25b^2 + 6ab + 4a^2)/(4a^2 - 2,25b^2);
в) (27m^2 - 48n^2)/(16n^2 - 24mn + 9m^2);
г) (16x^2 - 9y^2)/(9y^2 + 24xy + 16x^2).
*размещая тексты в комментариях ниже, вы автоматически соглашаетесь с пользовательским соглашением