Упр.377 ГДЗ Дорофеев Суворова 7 класс (Алгебра)
Решение #1

Рассмотрим вариант решения задания из учебника Дорофеев, Суворова, Бунимович 10-11 класс, Просвещение:
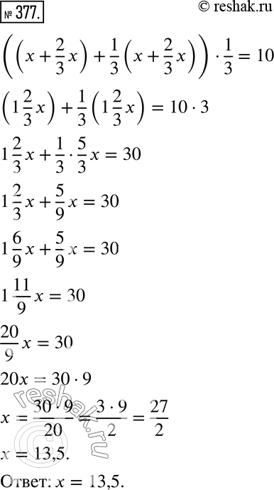
377 В древнеегипетском папирусе (1700 лет до н. э.) содержится решение уравнения, которое на языке современной математики можно записать так: ((x + 2/3*x) + 1/3*(x + 2/3*x)) * 1/3 = 10. Решите это уравнение.
*размещая тексты в комментариях ниже, вы автоматически соглашаетесь с пользовательским соглашением