Упр.378 ГДЗ Колягин Ткачёва 7 класс (Алгебра)
Решение #1

Рассмотрим вариант решения задания из учебника Колягин, Ткачёва, Фёдорова 7 класс, Просвещение:
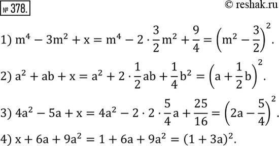
378. Заменить x одночленом так, чтобы получился квадрат двучлена:
1) m^4-3m^2+x;
2) a^2+ab+x;
3) 4a^2-5a+x;
4) x+6a+9a^2.
*размещая тексты в комментариях ниже, вы автоматически соглашаетесь с пользовательским соглашением