Упр.42 ГДЗ Дорофеев Суворова 9 класс (Алгебра)

Решение #1

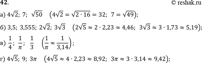
Изображение 42. Расположите в порядке возрастания числа.а) 7; v50; 4v2;б) 2v5; 3v3; 3,5; 3,555...;в) 1/3; 1/4; 1/?;г) 9; 4v5;...
Загрузка...

Рассмотрим вариант решения задания из учебника Дорофеев, Суворова, Бунимович 9 класс, Просвещение:
42. Расположите в порядке возрастания числа.
а) 7; v50; 4v2;
б) 2v5; 3v3; 3,5; 3,555...;
в) 1/3; 1/4; 1/?;
г) 9; 4v5; 3?.
*Цитирирование задания со ссылкой на учебник производится исключительно в учебных целях для лучшего понимания разбора решения задания.
*размещая тексты в комментариях ниже, вы автоматически соглашаетесь с пользовательским соглашением