Упр.462 ГДЗ Колягин Ткачёва 7 класс (Алгебра)
Решение #1

Рассмотрим вариант решения задания из учебника Колягин, Ткачёва, Фёдорова 7 класс, Просвещение:
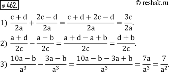
462. Выполнить действия:
1) (c+d)/2a+(2c-d)/2a;
2) (a+d)/2c-(a-b)/2c;
3) (10a-b)/a^3 -(3a-b)/a^3 .
*размещая тексты в комментариях ниже, вы автоматически соглашаетесь с пользовательским соглашением