Упр.5.7 ГДЗ Мордкович Семенов 7 класс (Алгебра)
Решение #1

Рассмотрим вариант решения задания из учебника Мордкович, Семенов, Александрова 7 класс, Бином:
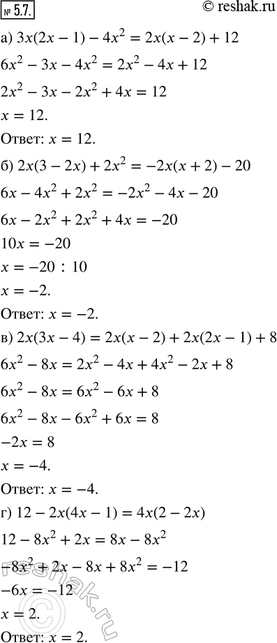
5.7. Решите уравнение.
а) 3x(2x — 1) — 4х^2 = 2х(х — 2) + 12;
б) 2х(3 - 2х) + 2х^2 = —2х(х + 2) - 20;
в) 2x(3x — 4) = 2х(х — 2) + 2x(2x — 1) + 8;
г) 12 - 2х(4х - 1) = 4x(2 - 2х).
*размещая тексты в комментариях ниже, вы автоматически соглашаетесь с пользовательским соглашением