Упр.514 ГДЗ Дорофеев Суворова 9 класс (Алгебра)
Решение #1

Рассмотрим вариант решения задания из учебника Дорофеев, Суворова, Бунимович 9 класс, Просвещение:
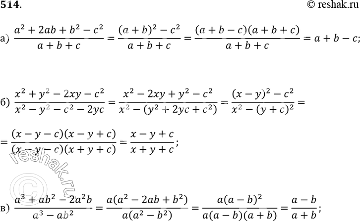
514.
а) (a^2 + b^2 + 2ab - c^2)/(a + b + c);
б) (x^2 + y^2 - 2xy - c^2)/(x^2 - y^2 - c^2 - 2yc);
в) (a^3 + ab^2 - 2a^2b)/(a^3 - ab^2).
*размещая тексты в комментариях ниже, вы автоматически соглашаетесь с пользовательским соглашением