Упр.530 ГДЗ Дорофеев Суворова 9 класс (Алгебра)
Решение #1

Рассмотрим вариант решения задания из учебника Дорофеев, Суворова, Бунимович 9 класс, Просвещение:
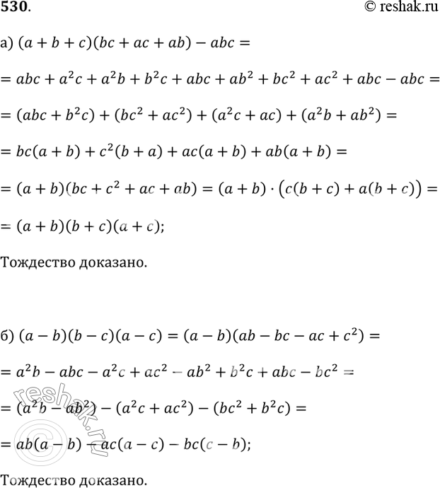
530.
a) (a + b + c)(bc + ac + ab) - abc = (b + c)(c + a)(a + b);
6) (a - b)(b - c)(a - c) = ab(a - b) - ac(a - c) - bc(c - b).
*размещая тексты в комментариях ниже, вы автоматически соглашаетесь с пользовательским соглашением