Упр.545 ГДЗ Дорофеев Суворова 7 класс (Алгебра)
Решение #1

Рассмотрим вариант решения задания из учебника Дорофеев, Суворова, Бунимович 10-11 класс, Просвещение:
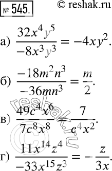
545 Упростите выражение:
а) 32x4y5/-8x3y3;
б) -18m2n3/-36mn3;
в) 49c4x6/7c8x8;
г) 11x14z4/-33x15z3.
*размещая тексты в комментариях ниже, вы автоматически соглашаетесь с пользовательским соглашением