Упр.551 ГДЗ Дорофеев Суворова 9 класс (Алгебра)
Решение #1

Рассмотрим вариант решения задания из учебника Дорофеев, Суворова, Бунимович 9 класс, Просвещение:
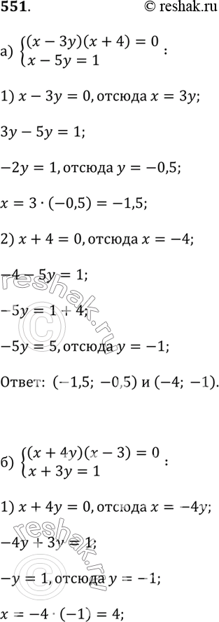
551.
а) (x - 3y)(x + 4) = 0 и x - 5y = 1;
б) (x + 4y)(x - 3) = 0 и x + 3y = 1;
в) (x - 1)(y + 4) = 0 и y^2 + xy - 2 = 0;
г) (x + 2)(y - 1) = 0 и x^2 - xy - 12 = 0.
*размещая тексты в комментариях ниже, вы автоматически соглашаетесь с пользовательским соглашением