Упр.554 ГДЗ Дорофеев Суворова 7 класс (Алгебра)
Решение #1

Рассмотрим вариант решения задания из учебника Дорофеев, Суворова, Бунимович 10-11 класс, Просвещение:
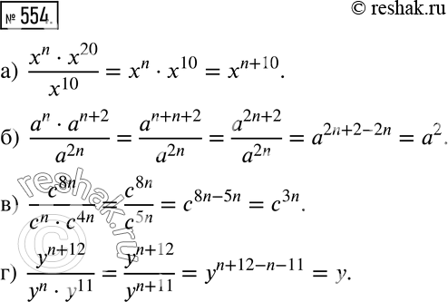
554 Упростите выражение:
а) (xn * x20)/x10;
б) (an * a^(n+2))/a^2n;
в) c8n/(cn * c4n);
г) y^(n+12)/(yn * y11).
*размещая тексты в комментариях ниже, вы автоматически соглашаетесь с пользовательским соглашением