Упр.564 ГДЗ Дорофеев Суворова 7 класс (Алгебра)
Решение #1

Рассмотрим вариант решения задания из учебника Дорофеев, Суворова, Бунимович 10-11 класс, Просвещение:
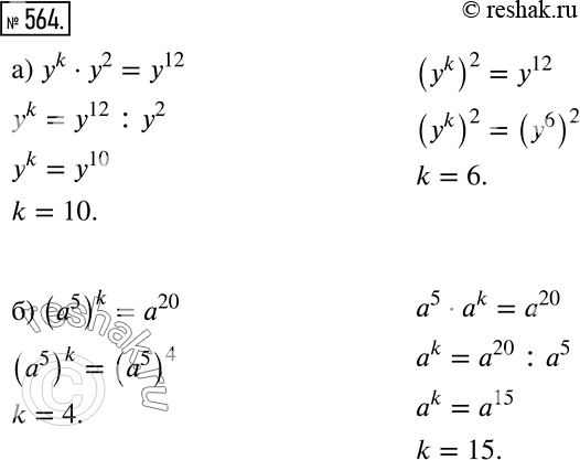
564 Рассуждаем При каком значении k верно равенство:
a) уk * у2 = у12, (уk)2 = у12;
б) (а5)k = а20, a5 * аk = а20?
*размещая тексты в комментариях ниже, вы автоматически соглашаетесь с пользовательским соглашением